Patent Title: PROCESS FOR THE MANUFACTURING OF A POLYMER WITH URETHANE GROUPS
Number/Link: WO2019/034470 and WO2019/034473
Applicant/Assignee: BASF
Publication Date: 21 February 2019
“Gist”: A cyclic thiocarbonate is reacted with a diamine and then with a diacrylate
Why it is interesting: NIPU is prepared by reacting a five-ring monothiocarbonate with di- (or poly-) amine and then with a compound having at least two thiol-reactive functional groups like e.g. ethylenically unsaturated groups. The reaction has advantages over conventional PU chemistry like being isocyanate-free, less moisture sensitive and running at moderate temperatures. In an example methyl monothiocarbonate is reacted with 1,5-pentanediamine and 1,4-butandioldimethacrylate, resulting in a colourless, transparent polymer with a high thermal stability.
An interesting take on hybrid non-isocyanate polyurethanes.

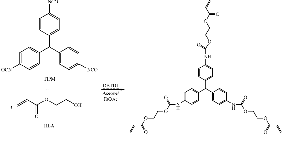
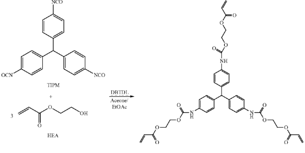
Reaction scheme according to the invention


