Patent Title: METATHESIZED TRIACYLGLYCEROL POLYOLS FOR USE IN POLYURETHANE APPLICATIONS AND THEIR RELATED PROPERTIES
Number/Link: US2015/0337073
Applicant/Assignee: Trent University
Publication date: 26-11-2015
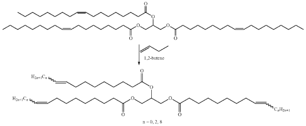
“Gist”: Palm oil is metathesized before hydroxylation.
Why it is interesting: Natural-oil based polyols (NOPs) prepared from unsaturated plant oils are well known in the PU industry. In this case however, the oil is first modified into a ‘metathesized triacylglycerol’ by cross-metathesis using (e.g.) 1,2-butene and an appropriate catalyst. The result is a complex mixture of triglycerids, the unsaturations of which are then epoxidized and hydrolyzed into the final polyol. In the examples palm-oil metathezised triacylglycerol (PMTAG) is compared to a commercially available soy-oil polyol when used to perpare both flexible and rigid foams. While the chemistry is interesting there does not appear to be much advantage to this type of NOP.


1 Comment