metathesis

This is an image for Natural Oil Polyols Using Metathesis Chemistry.

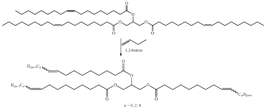
Metathesis reaction of triolein with butene

Leave a comment

Leave a comment

  • Pages

  • Categories

  • Enter your email address to follow this blog and receive notifications of new posts by email.

    Join 259 other subscribers
  • Follow Innovation in PU on Twitter