Title: HIGH STRENGTH POLYURETHANE FOAM COMPOSITIONS AND METHODS
Number/Link: WO2014/074706
Applicant/Assignee: Novomer
Publication date: 15-05-2014
“Gist”: The mechanical properties of flexible foams can be improved by replacing up to 50% of the polyol with CO2-based polycarbonate polyols.
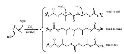
Why it is interesting: Novomer (http://www.novomer.com) is a ‘sustainable chemistry company’ which produces aliphatic polycarbonate polyols from CO2 and epoxides. In this 215 page patent application they claim that hardness and mechanical properties viz. tensile- and tear strength of flexible and VE foams are improved by replacing between 2 and 50% of the polyol by their polycarbonate polyol. Other properties are supposedly not affected much, although resilience (e.g.) clearly drops for HR foams.
While the first claim may be technically new, it is – in my opinion- not patentable because not surprising to “a person skilled in the art”.

