Title: PRODUCTION OF POLYOLS USING DISTILLERS GRAINS AND PROTEINS AND LIGNIN EXTRACTED FROM DISTILLERS GRAINS
Number/Link: US2014/200324
Applicant/Assignee: EMGPI PROC and PITTSBURG STATE UNIVERSITY
Publication date: 17-07-2014
“Gist”: Dried distillers grains are transamidated and then alkoxylated to form a polyol useful for rigid polyurethane spray foams.
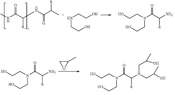
Why it is interesting: ‘Distillers grains’ are a by-product of ethanol production and are currently avaible in huge quatities due to the state-sponsored bio-ethanol production in the US. Most of the product is used as animal feeds because of the high levels of nutrients. Dried distillers grain (DDGS) contains about 30% protein, about 30% fibers (cellulose, hemicellulose and lignin) and about 30% lipids, ash and water. According to this invention DDGS can be turned into polyols by first reacting the (solid) DDGS with diethanolamine at elevated temperature and pressure (about 200°C and 3.5 MPa) and breaking down the proteins in amino-amides. The resulting liquid can subsequentlly be epoxidized with propylene oxide resulting in a polyol which is supposedly highly reactive and useful for polyurethane rigid spray foams.
Personally I find it hard to believe that a decent reproducible foam can be made with such a horrible mixture.


paul
/ July 22, 2014Spray rigid PU foam is used mostly for thermal insulation and as such its cell structure may be crucial for a reasonable performance! In this regard I too consider that a “dirty” and not well defined polyol may be difficult to be useful! However, in application where the aspect of the cell structure is less critical, the discussed source may be found useful enough.
John Spevacek
/ July 22, 2014“Personally I find it hard to believe that a decent reproducible foam can be made with such a horrible mixture.”
I think sometimes we outsmart ourselves, wanting “clean” chemistry when dirty chemistry can do just fine. Too often we come up with a $10 solution to a $1 problem. (And this is ironic as most chemists see polymer chemistry as “dirty” since it doesn’t produce a well defined product, but rather a product with a distribution of molecular weights).
But at the same time, the processing of the DDGs doesn’t look cheap (200 C and 3.5 MPa) and you still need to add the DEA, further increasing the cost of a dirt cheap starting material. Maybe we could find a gold-based catalyst and then would could really price ourselves out of the market.