Title: POLYOLS FROM BIOMASS AND POLYMERIC PRODUCTS PRODUCED THEREFROM
Number/Link:WO2015/105542
Applicant/Assignee: Inventors
Publication date: 16-07-2015
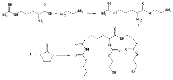
“Gist”: Soy bean proteins are hydrolysed and reacted with diamines and cylocarbonates to produce “rigid” polyols.
Why it is interesting: During recent years a lot of research has been done on the use of renewable raw materials in polyurethanes. Most of this research was on the use of natural oils despite the fact that the availability of biomass proteins is much higher. Soybeans for example contain about twice as much protein (about 38% w/w) than oil (18%) and the price is about half that of the oil. According to this invention soybean proteins are hydrolysed into amino acids which are then reacted with ethylene diamine to make amine-ended monomers. These monomers are reacted with a cyclocarbonate (ethylene carbonate or glycerol carbonate) resulting in a mixture of hydroxyurethane oligomers. The mixture is a low viscous liquid with high hydroxyl value useful for the production of rigid foams.

