Title: MULTI-ARM HYDROPHILIC URETHANE POLYMERS, METHODS OF MAKING THEM, AND COMPOSITIONS AND PROCESSES EMPLOYING THEM
Number/Link: US2014/038874
Applicant/Assignee: Stepan
Publication date: 6-02-2014
“Gist”: PU star polymers, useful as surfactants, are prepared from a polyhydroxy ‘core’ molecule, a diisocyanate and a surplus of PEG.
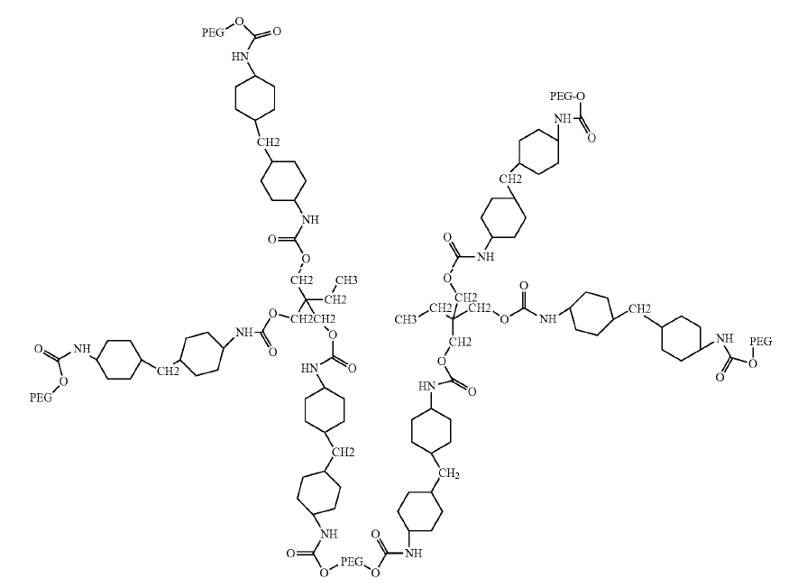
Why it is interesting: A low MW ‘core’ molecule with an OH functionality of up to 6 is reacted with a surplus of diisocyanate to form an NCO ended prepolymer. The prepolymer is then reacted with a suplus of a polyethylene glycol (PEG). Reactants and ratios are chosen such that the average MW of the resulting product is less than about 10,000 and is water soluble or at least water dispersible. In an example trimethylolpropane is reacted with dicyclohexylmethane di-isocyanate (H12MDI) and ‘capped’ with PEG 400, resulting in a mixture of structures, one of which is shown below. The star polymers are supposedly useful as surfactants for use in detergents etc..
While these are interesting molecules, I doubt that these stuctures can be controlled finely enough to compete with established surfactants. I might be more interesting to use methoxy PEGs (i.e. monols) instead of PEGs.

