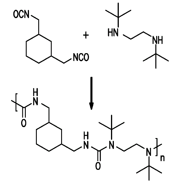
thermoreversible polyurea II

This is an image for One Component Polyurea.

Thermoreversible polyurea according to the invention

Leave a comment

Leave a comment

  • Pages

  • Categories

  • Enter your email address to follow this blog and receive notifications of new posts by email.

    Join 259 other subscribers
  • Follow Innovation in PU on Twitter